Официальное опубликование правовых актов
ОФИЦИАЛЬНОЕ ОПУБЛИКОВАНИЕ
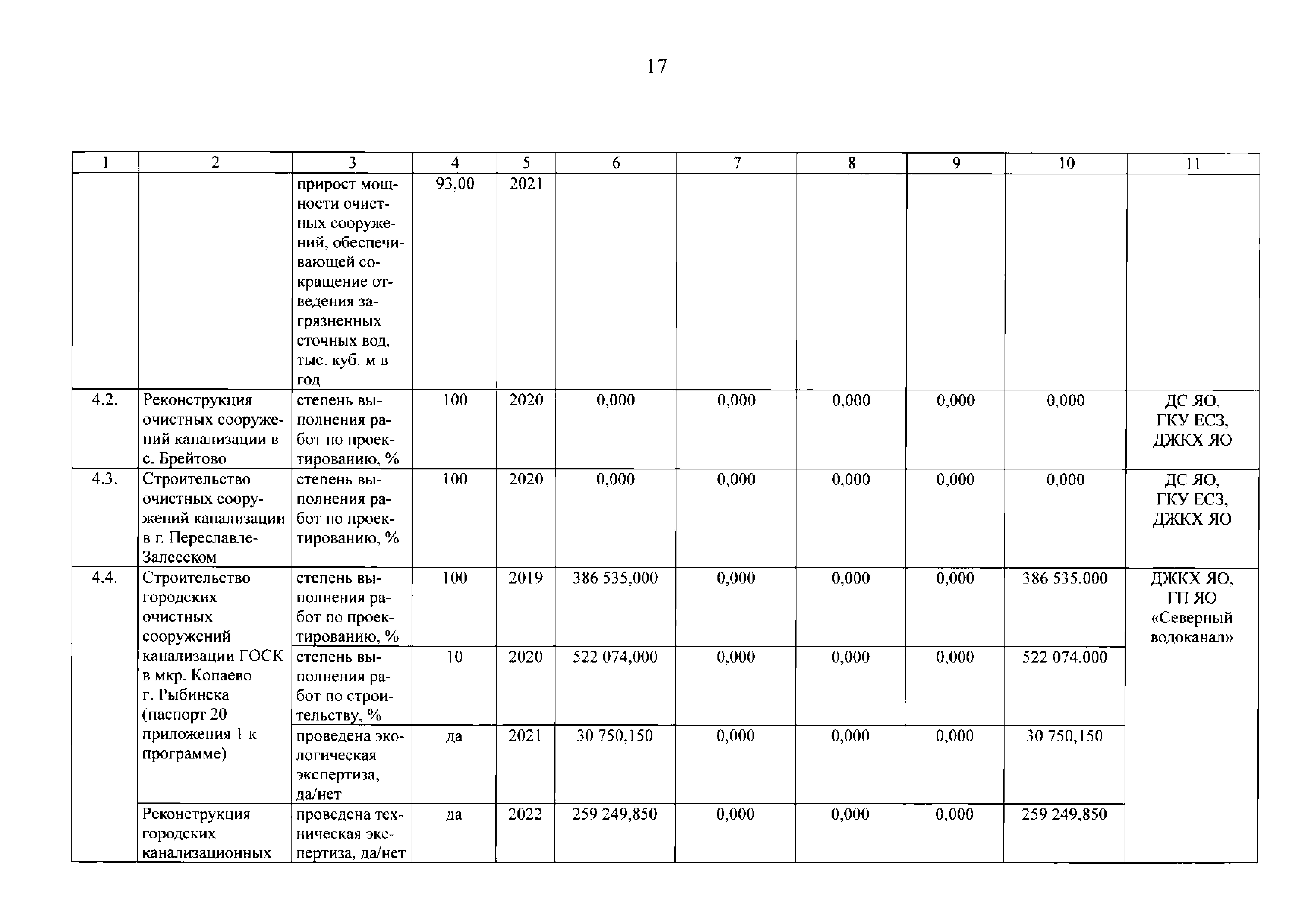
Постановление Правительства Ярославской области от 13.02.2023 № 101-п
"О внесении изменений в постановление Правительства области от 30.03.2018 № 234-п"
Номер опубликования: 7600202302200003
Дата опубликования: 20.02.2023
Страница №18 из 99: