Официальное опубликование правовых актов
ОФИЦИАЛЬНОЕ ОПУБЛИКОВАНИЕ
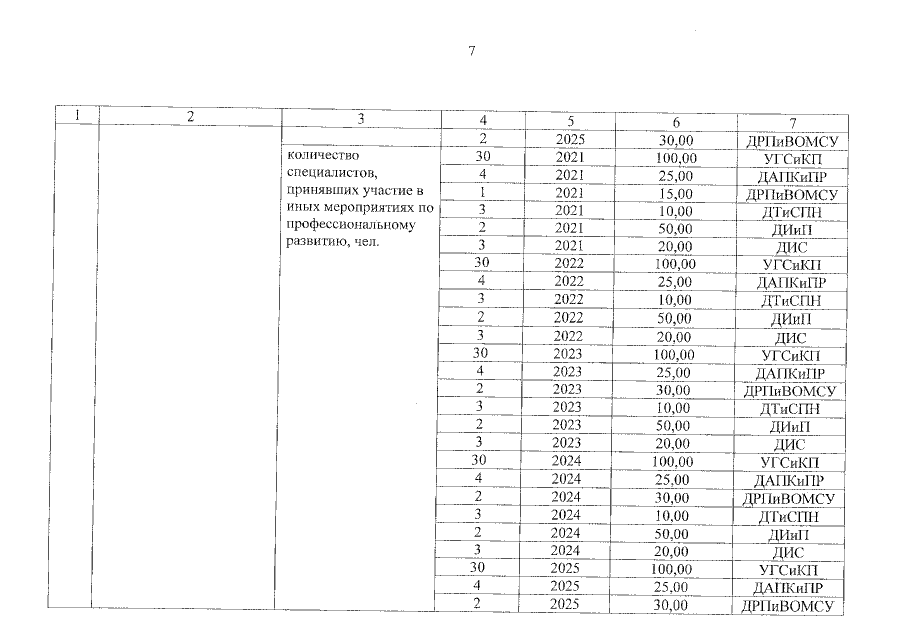
Постановление Правительства Ярославской области от 01.03.2021 № 76-п
"Об утверждении государственной программы Ярославской области "Развитие системы государственного управления на территории Ярославской области" на 2021 – 2025 годы"
Номер опубликования: 7600202103050001
Дата опубликования: 05.03.2021
Страница №24 из 53:
Увеличить