Официальное опубликование правовых актов
ОФИЦИАЛЬНОЕ ОПУБЛИКОВАНИЕ
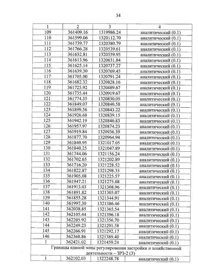
Постановление Правительства Ярославской области от 03.09.2020 № 711-п
"Об утверждении границ объединенных зон охраны объектов культурного наследия федерального и регионального значения, режимов использования земель и требований к градостроительным регламентам в границах территорий данных зон"
Номер опубликования: 7600202009080001
Дата опубликования: 08.09.2020
Страница №37 из 560:
Увеличить