Официальное опубликование правовых актов
ОФИЦИАЛЬНОЕ ОПУБЛИКОВАНИЕ
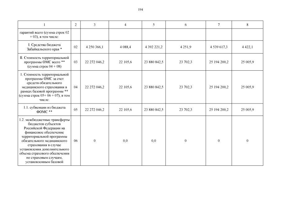
Постановление Правительства Забайкальского края от 29.12.2022 № 694
"Об утверждении Территориальной программы государственных гарантий бесплатного оказания гражданам медицинской помощи на территории Забайкальского края на 2023 год и на плановый период 2024 и 2025 годов"
Номер опубликования: 7500202301040026
Дата опубликования: 04.01.2023
Страница №194 из 198:
Увеличить