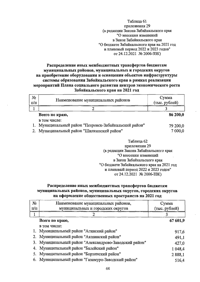
Закон Забайкальского края от 24.12.2021 № 2006-ЗЗК
"О внесении изменений в Закон Забайкальского края "О бюджете Забайкальского края на 2021 год и плановый период 2022 и 2023 годов"
"О внесении изменений в Закон Забайкальского края "О бюджете Забайкальского края на 2021 год и плановый период 2022 и 2023 годов"
Номер опубликования: 7500202112300003
Дата опубликования:
30.12.2021
