Официальное опубликование правовых актов
ОФИЦИАЛЬНОЕ ОПУБЛИКОВАНИЕ
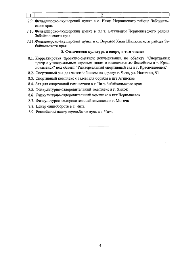
Закон Забайкальского края от 06.06.2019 № 1729-ЗЗК
"О внесении изменений в Закон Забайкальского края "О бюджете Забайкальского края на 2019 год и плановый период 2020 и 2021 годов"
Номер опубликования: 7500201906110002
Дата опубликования: 11.06.2019
Страница №852 из 875:
Увеличить