Официальное опубликование правовых актов
ОФИЦИАЛЬНОЕ ОПУБЛИКОВАНИЕ
Постановление Правительства Забайкальского края от 31.12.2014 № 748
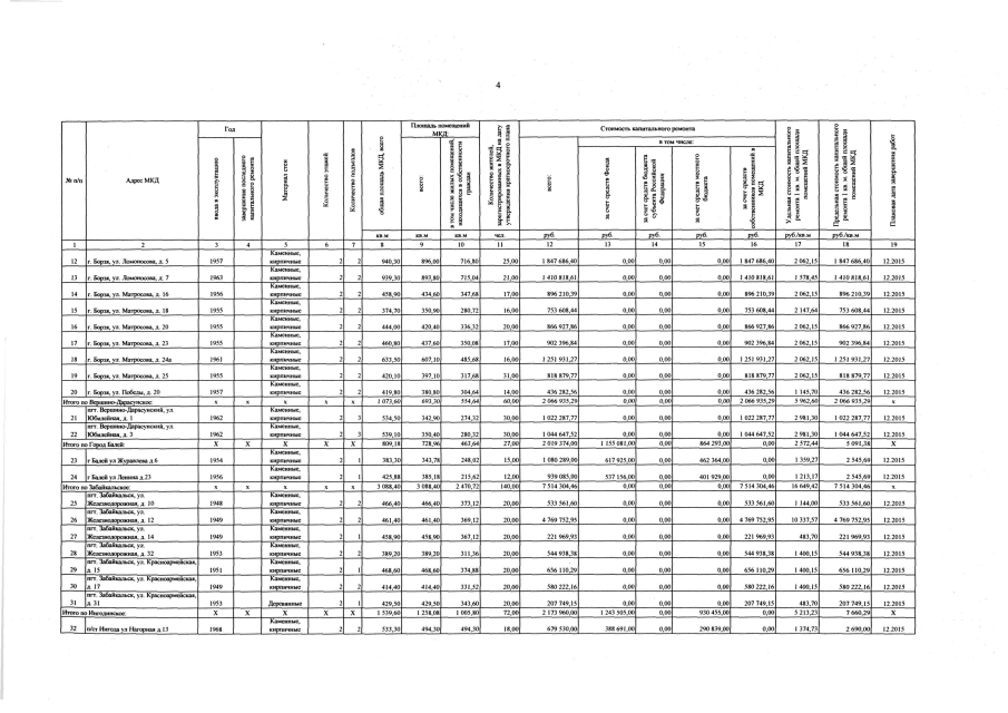
"О внесении изменений в постановление Правительства Забайкальского края от 30 июня 2014 года № 374 "Об утверждении Регионального краткосрочного плана реализации Региональной программы капитального ремонта общего имущества в многоквартирных домах, расположенных на территории Забайкальского края, на 2014 год"
Номер опубликования: 7500201501080007
Дата опубликования: 08.01.2015
Страница №4 из 17:
Увеличить