Официальное опубликование правовых актов
ОФИЦИАЛЬНОЕ ОПУБЛИКОВАНИЕ
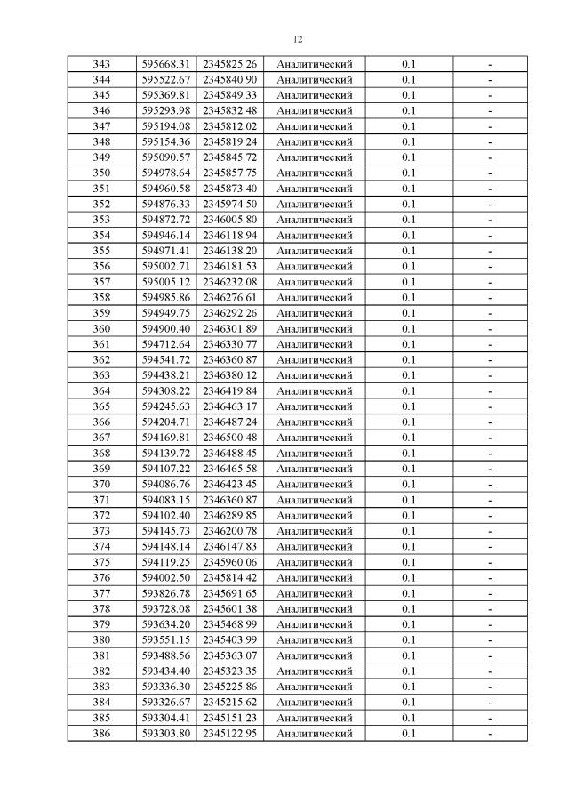
Приказ Главного управления лесами Челябинской области от 14.03.2023 № 183
"Об установлении границ лесопаркового зеленого пояса вокруг города Челябинска"
(Зарегистрирован 14.03.2023 № 58)
Номер опубликования: 7401202303170002
Дата опубликования: 17.03.2023
Страница №13 из 3424:
Увеличить