Официальное опубликование правовых актов
ОФИЦИАЛЬНОЕ ОПУБЛИКОВАНИЕ
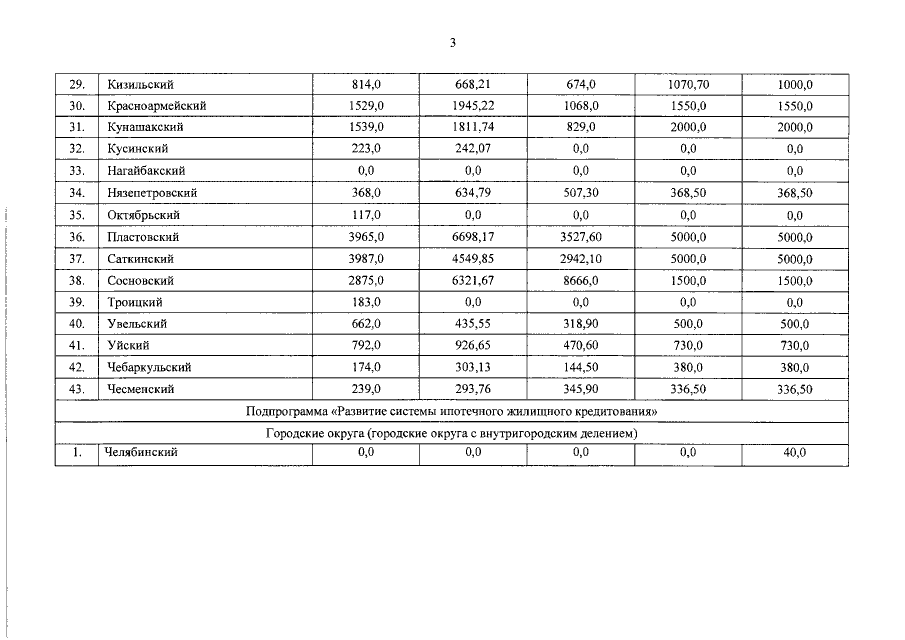
Постановление Правительства Челябинской области от 23.03.2023 № 193-П
"О внесении изменений в постановление Правительства Челябинской области от 21.12.2020 г. № 700-П"
Номер опубликования: 7400202303300002
Дата опубликования: 30.03.2023
Страница №35 из 70:
Увеличить