Официальное опубликование правовых актов
ОФИЦИАЛЬНОЕ ОПУБЛИКОВАНИЕ
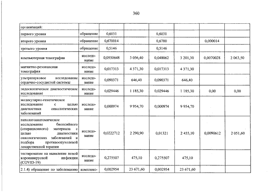
Постановление Правительства Челябинской области от 29.12.2022 № 783-П
"О Территориальной программе государственных гарантий бесплатного оказания гражданам медицинской помощи в Челябинской области на 2023 год и на плановый период 2024 и 2025 годов"
Номер опубликования: 7400202212300041
Дата опубликования: 30.12.2022
Страница №361 из 374:
Увеличить