Официальное опубликование правовых актов
ОФИЦИАЛЬНОЕ ОПУБЛИКОВАНИЕ
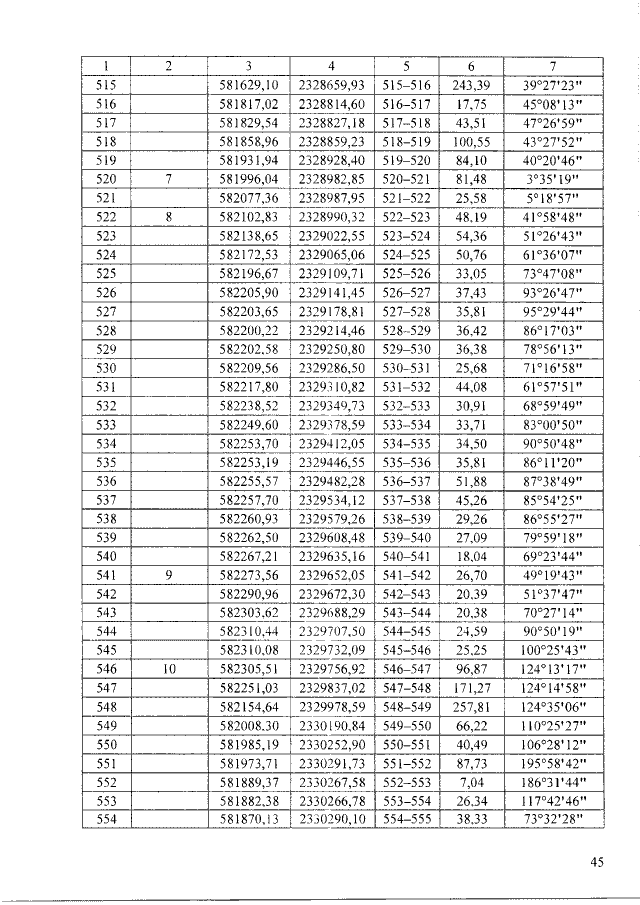
Закон Челябинской области от 06.04.2022 № 560-ЗО
"О статусе и границах Коркинского муниципального округа Челябинской области"
Номер опубликования: 7400202204080002
Дата опубликования: 08.04.2022
Страница №45 из 63:
Увеличить