Официальное опубликование правовых актов
ОФИЦИАЛЬНОЕ ОПУБЛИКОВАНИЕ
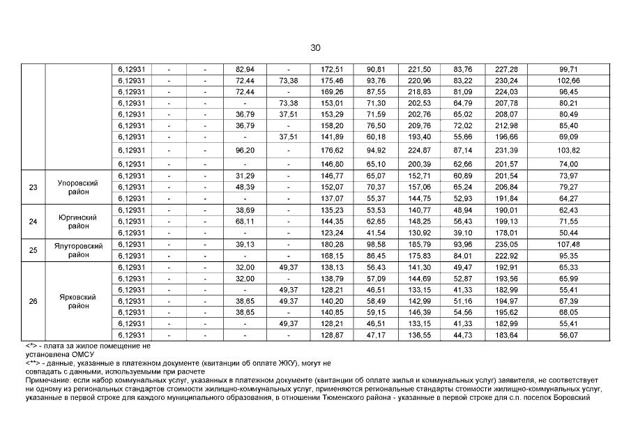
Постановление Правительства Тюменской области от 16.03.2023 № 123-п
"О региональных стандартах оплаты жилого помещения и коммунальных услуг на 2023 год"
Номер опубликования: 7200202303210015
Дата опубликования: 21.03.2023
Страница №31 из 43:
Увеличить