Официальное опубликование правовых актов
ОФИЦИАЛЬНОЕ ОПУБЛИКОВАНИЕ
Постановление Правительства Тюменской области от 19.06.2020 № 390-п
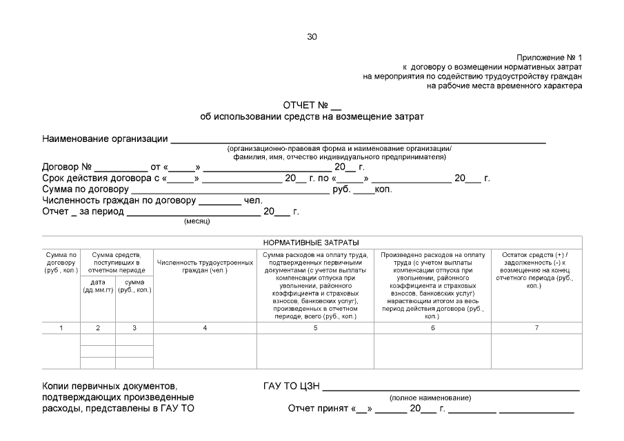
"Об утверждении Положений о порядке и условиях возмещения нормативных затрат работодателям на мероприятия по содействию занятости населения в условиях ухудшения ситуации на рынке труда Тюменской области в связи с распространением новой коронавирусной инфекции (COVID-19)"
Номер опубликования: 7200202006220002
Дата опубликования: 22.06.2020
Страница №31 из 68:
Увеличить