Официальное опубликование правовых актов
ОФИЦИАЛЬНОЕ ОПУБЛИКОВАНИЕ
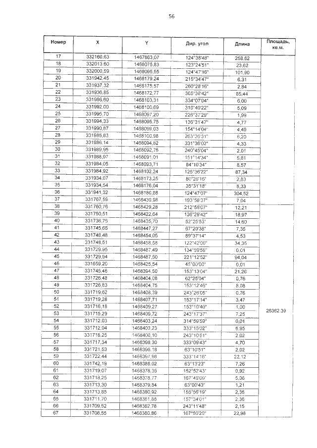
Постановление Правительства Тюменской области от 27.05.2016 № 218-п "Об утверждении документации по планировке территории, предназначенной для размещения линейных объектов транспортной инфраструктуры регионального значения"
Номер опубликования: 7200201606020012
Дата опубликования: 02.06.2016
Страница №559 из 568:
Увеличить