Официальное опубликование правовых актов
ОФИЦИАЛЬНОЕ ОПУБЛИКОВАНИЕ
Приказ Инспекции Тульской области по государственной охране объектов культурного наследия от 14.04.2023 № 35
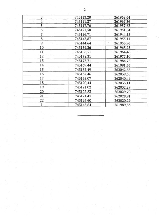
"О включении выявленного объекта культурного наследия "Дворянская Гимназия", 1910-е гг., расположенного по адресу: г. Тула, Центральный район, пр. Ленина, 53, лит. А, В, в единый государственный реестр объектов культурного наследия (памятников истории и культуры) народов Российской Федерации в качестве объекта культурного наследия регионального значения, утверждении его предмета охраны и границ территории"
(Зарегистрирован 14.04.2023 № 35)
Номер опубликования: 7101202304140003
Дата опубликования: 14.04.2023
Страница №8 из 9:
Увеличить