Официальное опубликование правовых актов
ОФИЦИАЛЬНОЕ ОПУБЛИКОВАНИЕ
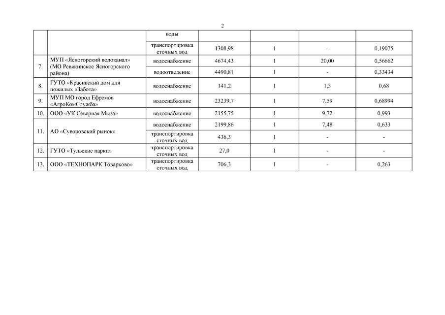
Постановление Комитета Тульской области по тарифам от 15.12.2020 № 36/1
"Об установлении долгосрочных параметров регулирования, производственных программ и тарифов на услуги водоснабжения, водоотведения, транспортировку воды и транспортировку сточных вод на 2021 год долгосрочных периодов регулирования 2018 – 2021 гг., 2019 – 2021гг., 2019 – 2022 гг., 2019 – 2023 гг., 2020 – 2022 гг., 2020 – 2023 гг., 2020 – 2024 гг., 2021 – 2023 гг. и 2021 – 2025 гг. для потребителей Тульской области"
Номер опубликования: 7101202012220005
Дата опубликования: 22.12.2020
Страница №6 из 54:
Увеличить