Официальное опубликование правовых актов
ОФИЦИАЛЬНОЕ ОПУБЛИКОВАНИЕ
Постановление Правительства Тульской области от 30.11.2016 № 548
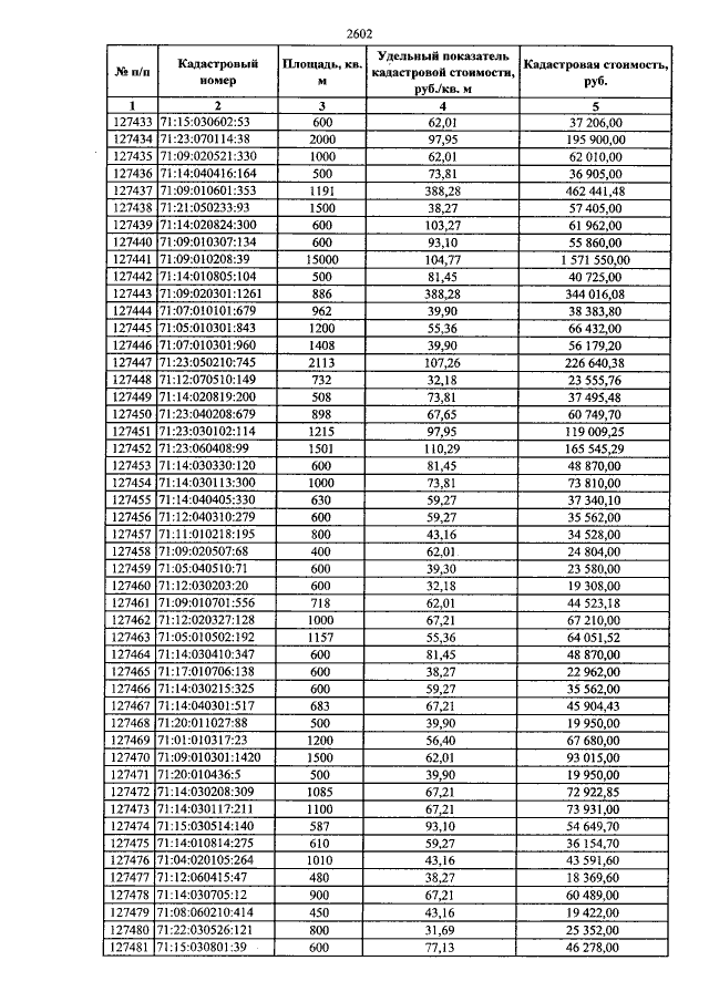
"О внесении изменений в постановление правительства Тульской области от 11.11.2016 № 515 "Об утверждении результатов определения кадастровой стоимости земель сельскохозяйственного назначения Тульской области"
Номер опубликования: 7100201612060004
Дата опубликования: 06.12.2016
Страница №3460 из 5247:
Увеличить