Официальное опубликование правовых актов
ОФИЦИАЛЬНОЕ ОПУБЛИКОВАНИЕ
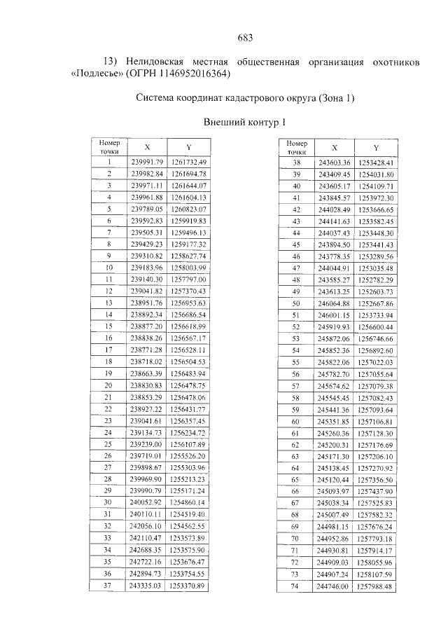
Постановление Губернатора Тверской области от 24.04.2019 № 27-пг
"Об утверждении схемы размещения, использования и охраны охотничьих угодий на территории Тверской области"
Номер опубликования: 6900201904300001
Дата опубликования: 30.04.2019
Страница №683 из 5694:
Увеличить