Официальное опубликование правовых актов
ОФИЦИАЛЬНОЕ ОПУБЛИКОВАНИЕ
Закон Тверской области от 02.04.2019 № 13-ЗО
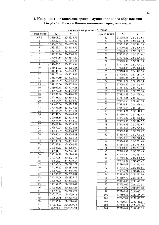
"О преобразовании муниципальных образований Тверской области путем объединения поселений, входящих в состав территории муниципального образования Тверской области "Вышневолоцкий район", с городским округом город Вышний Волочек Тверской области и внесении изменений в отдельные законы Тверской области"
Номер опубликования: 6900201904030001
Дата опубликования: 03.04.2019
Страница №42 из 78:
Увеличить