Официальное опубликование правовых актов
ОФИЦИАЛЬНОЕ ОПУБЛИКОВАНИЕ
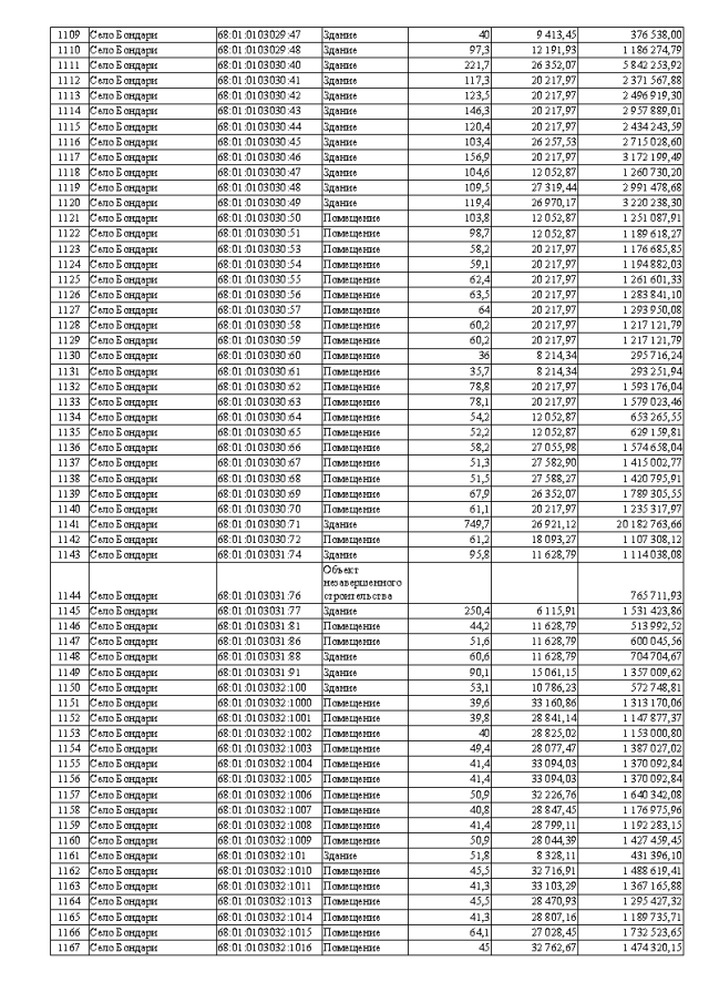
Приказ Комитета по управлению имуществом Тамбовской области от 07.11.2016 № 611
"Об утверждении результатов государственной кадастровой оценки объектов недвижимости (за исключением земельных участков), расположенных на территории Тамбовской области"
Номер опубликования: 6801201611160001
Дата опубликования: 16.11.2016
Страница №25 из 12097:
Увеличить