Официальное опубликование правовых актов
ОФИЦИАЛЬНОЕ ОПУБЛИКОВАНИЕ
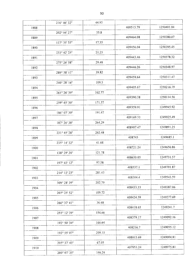
Закон Тамбовской области от 20.09.2021 № 661-З
"Об установлении границ муниципального образования город Тамбов Тамбовской области и определении места нахождения его представительного органа и о внесении изменений в отдельные законодательные акты Тамбовской области"
Номер опубликования: 6800202109220007
Дата опубликования: 22.09.2021
Страница №90 из 311:
Увеличить