Официальное опубликование правовых актов
ОФИЦИАЛЬНОЕ ОПУБЛИКОВАНИЕ
Закон Смоленской области от 28.06.2017 № 83-з
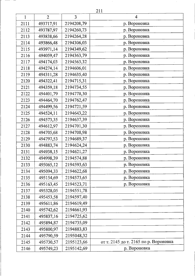
"О внесении изменений в областной закон "О наделении статусом муниципального района муниципального образования "Темкинский район" Смоленской области, об установлении границ муниципальных образований, территории которых входят в его состав, и наделении их статусом сельских поселений"
Номер опубликования: 6700201706280008
Дата опубликования: 28.06.2017
Страница №211 из 221:
Увеличить