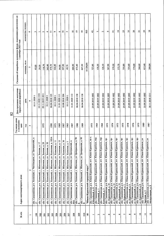
Постановление Правительства Сахалинской области от 31.03.2021 № 113
"Об утверждении региональной адресной программы "Переселение граждан из аварийного жилищного фонда на территории Сахалинской области в 2021 - 2026 годах"
"Об утверждении региональной адресной программы "Переселение граждан из аварийного жилищного фонда на территории Сахалинской области в 2021 - 2026 годах"
Номер опубликования: 6500202104050010
Дата опубликования:
05.04.2021
