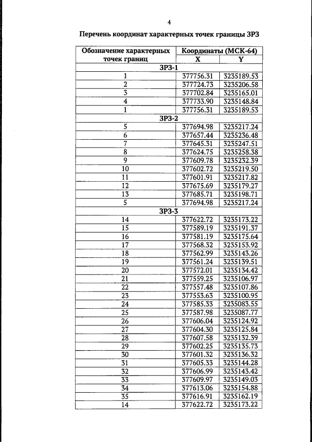
Постановление Правительства Саратовской области от 24.03.2023 № 253-П
"Об утверждении зон охраны объекта культурного наследия регионального значения "Новоузенская Уездная Земская Управа", 1887-1897 гг., расположенного по адресу: Саратовская область, г. Новоузенск, ул. Советская, 24 (лит. А)"
"Об утверждении зон охраны объекта культурного наследия регионального значения "Новоузенская Уездная Земская Управа", 1887-1897 гг., расположенного по адресу: Саратовская область, г. Новоузенск, ул. Советская, 24 (лит. А)"
Номер опубликования: 6400202303300003
Дата опубликования:
30.03.2023
