Официальное опубликование правовых актов
ОФИЦИАЛЬНОЕ ОПУБЛИКОВАНИЕ
Постановление Главного управления архитектуры и градостроительства Рязанской области от 01.04.2021 № 122-п
"Об утверждении генерального плана муниципального образования – Варсковское сельское поселение Рязанского муниципального района Рязанской области"
Номер опубликования: 6201202104060004
Дата опубликования: 06.04.2021
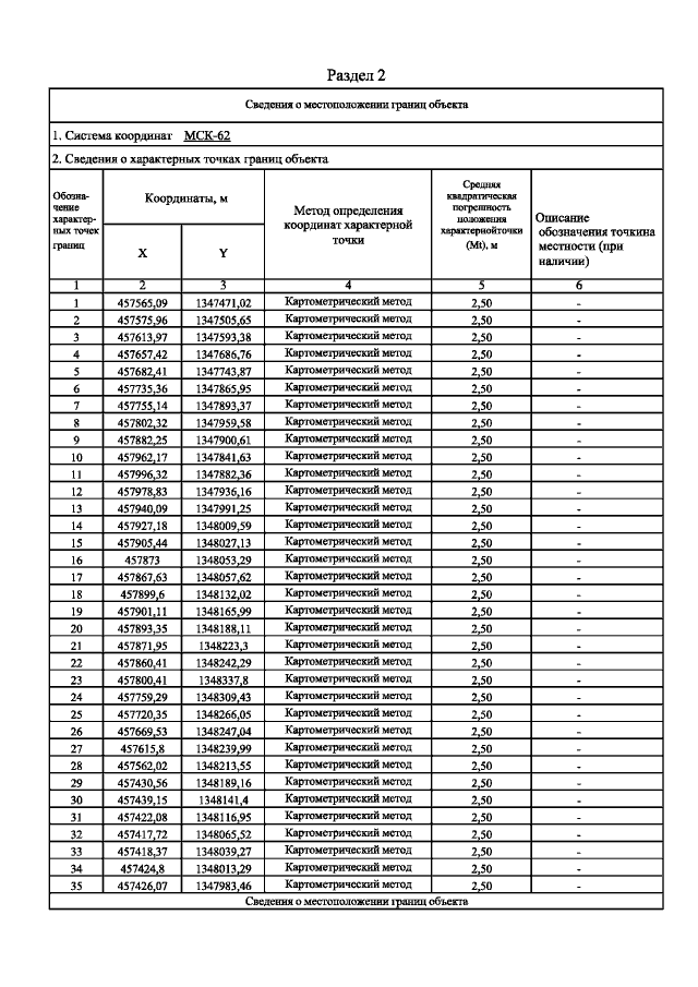
Страница №33 из 36:
Увеличить