Официальное опубликование правовых актов
ОФИЦИАЛЬНОЕ ОПУБЛИКОВАНИЕ
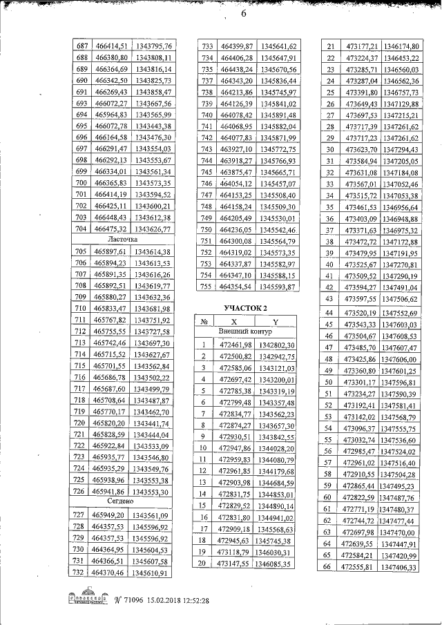
Постановление Правительства Рязанской области от 07.03.2018 № 44
"О создании государственного природного заказника областного значения "Солотчинский парк"
Номер опубликования: 6200201803130003
Дата опубликования: 13.03.2018
Страница №10 из 28:
Увеличить