Официальное опубликование правовых актов
ОФИЦИАЛЬНОЕ ОПУБЛИКОВАНИЕ
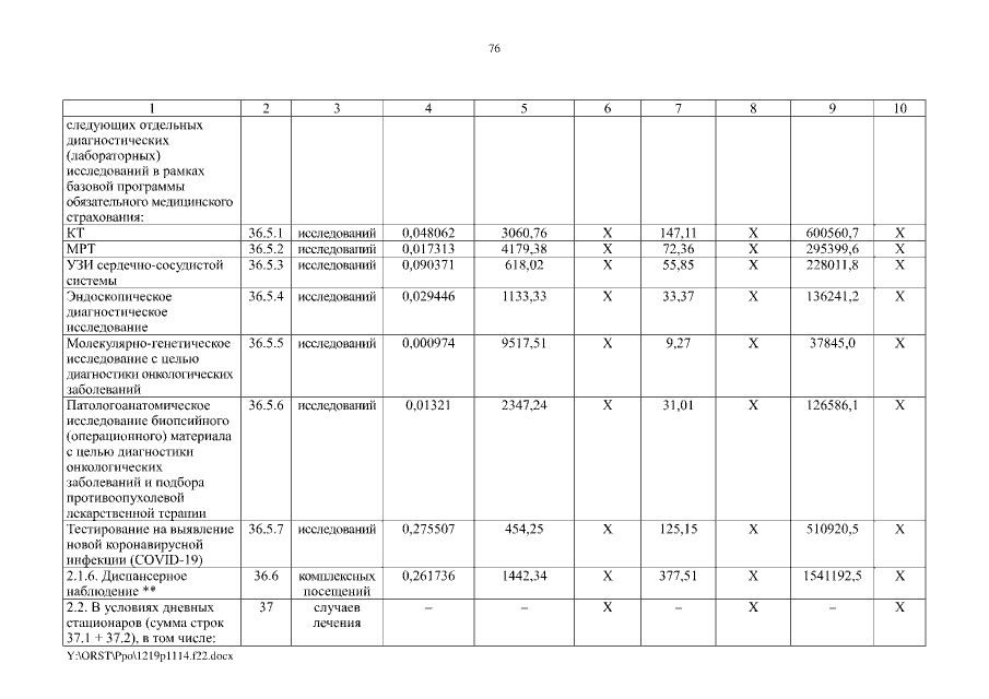
Постановление Правительства Ростовской области от 19.12.2022 № 1114
"О Территориальной программе государственных гарантий бесплатного оказания гражданам медицинской помощи в Ростовской области на 2023 год и плановый период 2024 и 2025 годов"
Номер опубликования: 6100202212210006
Дата опубликования: 21.12.2022
Страница №76 из 277:
Увеличить