Официальное опубликование правовых актов
ОФИЦИАЛЬНОЕ ОПУБЛИКОВАНИЕ
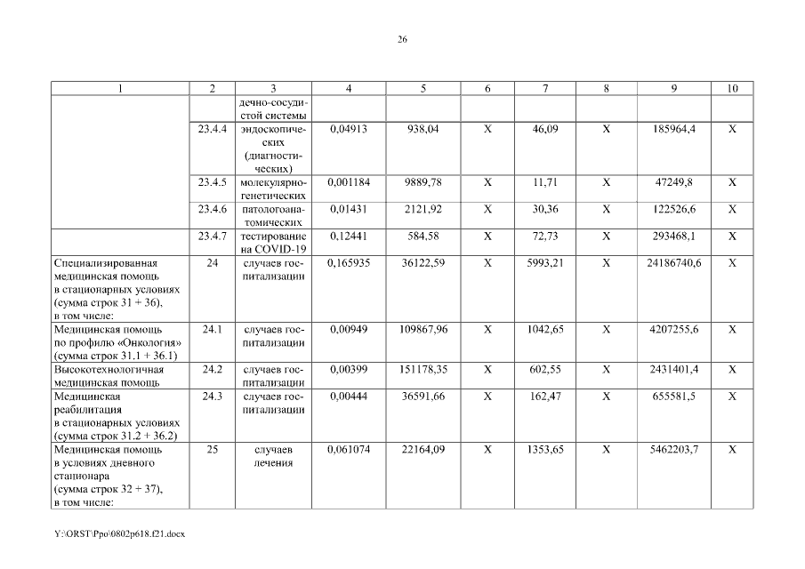
Постановление Правительства Ростовской области от 02.08.2021 № 618
"О внесении изменений в постановление Правительства Ростовской области от 21.12.2020 № 370"
Номер опубликования: 6100202108030008
Дата опубликования: 03.08.2021
Страница №26 из 71:
Увеличить