Официальное опубликование правовых актов
ОФИЦИАЛЬНОЕ ОПУБЛИКОВАНИЕ
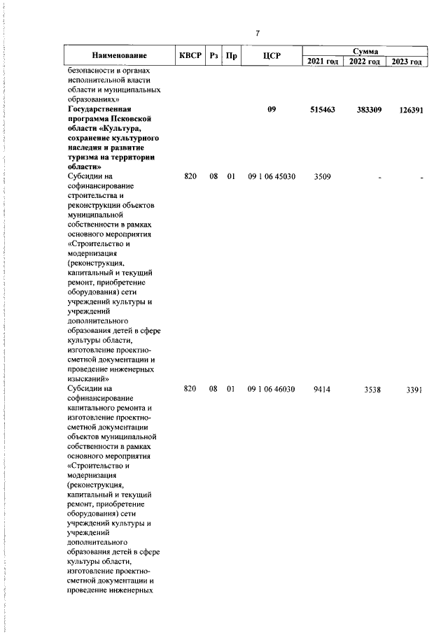
Закон Псковской области от 31.03.2021 № 2159-ОЗ
"О внесении изменений в Закон Псковской области "Об областном бюджете на 2021 год и на плановый период 2022 и 2023 годов"
Номер опубликования: 6000202103310001
Дата опубликования: 31.03.2021
Страница №883 из 892:
Увеличить