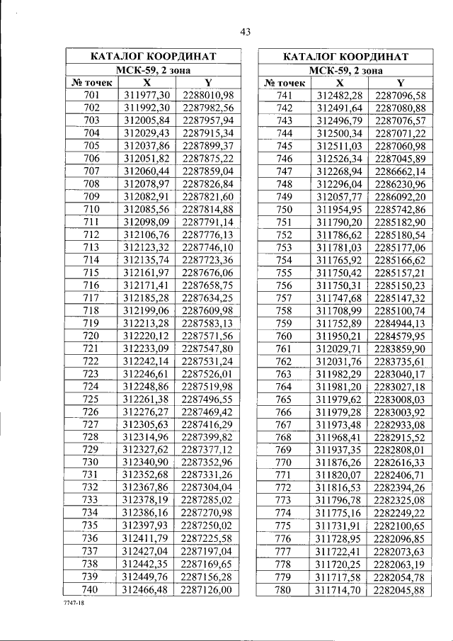
Закон Пермского края от 23.10.2018 № 302-ПК
"Об утверждении Соглашения об описании местоположения границы между Пермским краем и Республикой Башкортостан"
"Об утверждении Соглашения об описании местоположения границы между Пермским краем и Республикой Башкортостан"
Номер опубликования: 5900201810240003
Дата опубликования:
24.10.2018
