Официальное опубликование правовых актов
ОФИЦИАЛЬНОЕ ОПУБЛИКОВАНИЕ
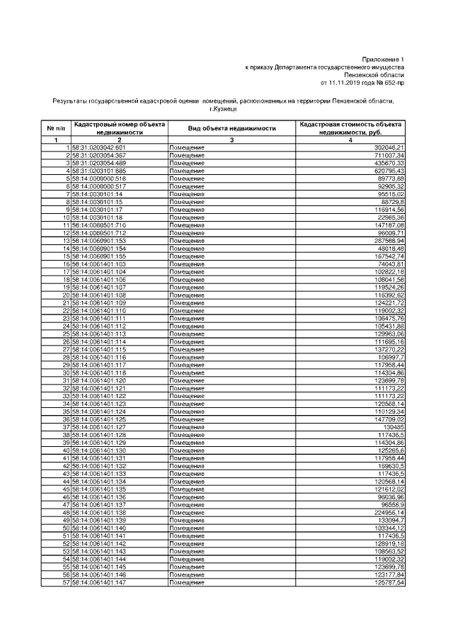
Приказ Департамента государственного имущества Пензенской области от 11.11.2019 № 652-пр
"Об утверждении результатов определения кадастровой оценки помещений, расположенных на территории Пензенской области"
Номер опубликования: 5801201911110002
Дата опубликования: 11.11.2019
Страница №4 из 7827:
Увеличить