Официальное опубликование правовых актов
ОФИЦИАЛЬНОЕ ОПУБЛИКОВАНИЕ
Закон Пензенской области от 29.07.2022 № 3849-ЗПО
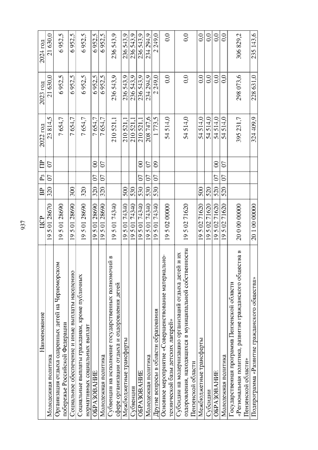
"О внесении изменений в Закон Пензенской области "О бюджете Пензенской области на 2022 год и на плановый период 2023 и 2024 годов"
Номер опубликования: 5800202207290006
Дата опубликования: 29.07.2022
Страница №937 из 1075:
Увеличить