Официальное опубликование правовых актов
ОФИЦИАЛЬНОЕ ОПУБЛИКОВАНИЕ
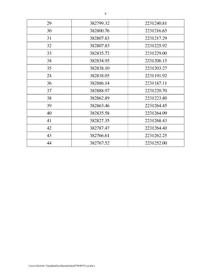
Постановление Правительства Пензенской области от 12.02.2019 № 74-пП
"Об установлении зон охраны объекта культурного наследия регионального значения "Дом жилой" (Пензенская область, г. Пенза, ул. Суворова, 60) и утверждении требований к градостроительным регламентам в границах территории данных зон"
Номер опубликования: 5800201902130007
Дата опубликования: 13.02.2019
Страница №10 из 18:
Увеличить