Официальное опубликование правовых актов
ОФИЦИАЛЬНОЕ ОПУБЛИКОВАНИЕ
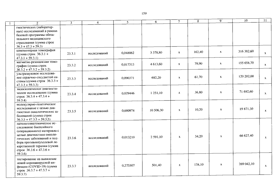
Постановление Правительства Оренбургской области от 27.12.2022 № 1478-пп
"О территориальной программе государственных гарантий бесплатного оказания гражданам на территории Оренбургской области медицинской помощи на 2023 год и на плановый период 2024 и 2025 годов"
Номер опубликования: 5600202301030043
Дата опубликования: 03.01.2023
Страница №159 из 172:
Увеличить