Приказ Региональной энергетической комиссии Омской области от 30.11.2022 № 532/68
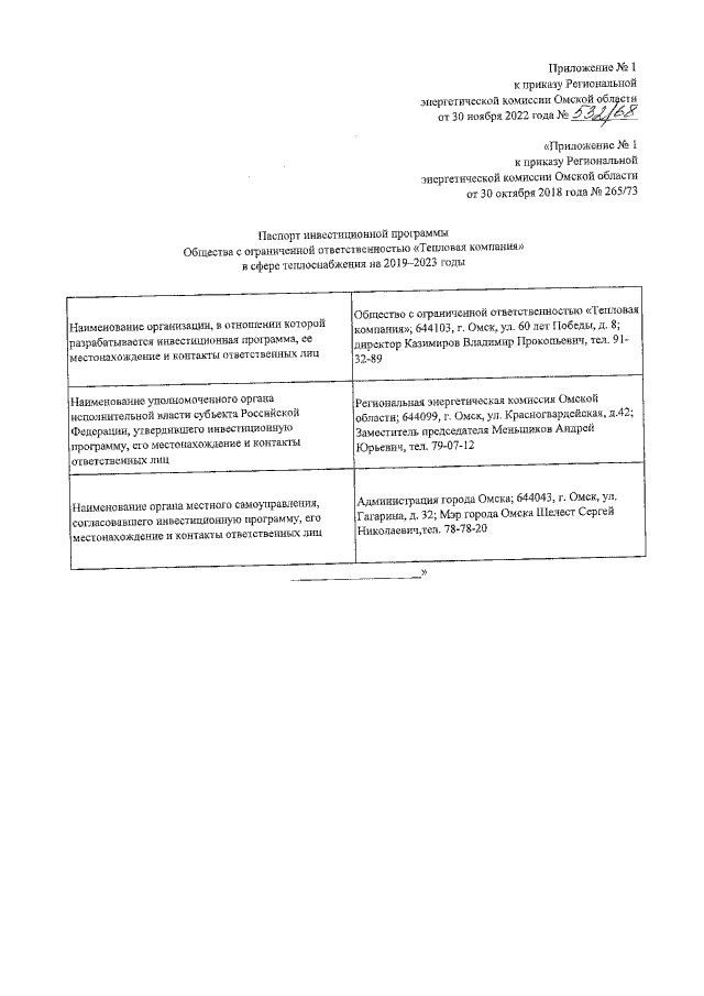
"О внесении изменений в приказ Региональной энергетической комиссии Омской области от 30 октября 2018 года № 265/73"
"О внесении изменений в приказ Региональной энергетической комиссии Омской области от 30 октября 2018 года № 265/73"
Номер опубликования: 5501202212020011
Дата опубликования:
02.12.2022
