Официальное опубликование правовых актов
ОФИЦИАЛЬНОЕ ОПУБЛИКОВАНИЕ
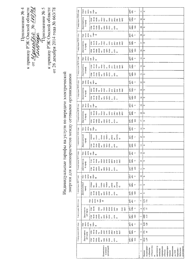
Приказ Региональной энергетической комиссии Омской области от 31.12.2019 № 578/91
"О внесении изменений в приказ Региональной энергетической комиссии Омской области от 26 декабря 2014 года № 663/78"
Номер опубликования: 5501201912310011
Дата опубликования: 31.12.2019
Страница №30 из 41:
Увеличить