Официальное опубликование правовых актов
ОФИЦИАЛЬНОЕ ОПУБЛИКОВАНИЕ
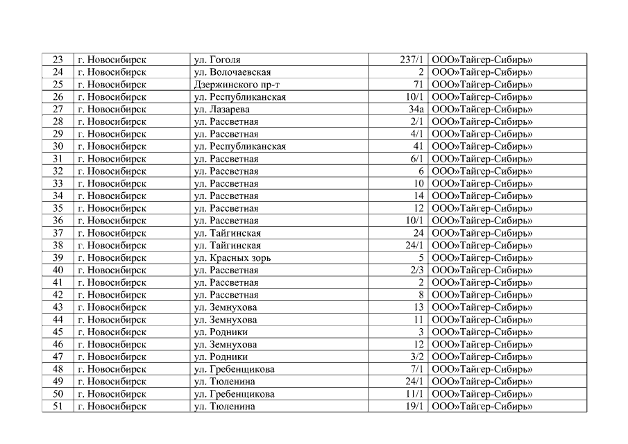
Постановление Правительства Новосибирской области от 26.09.2016 № 292-п
"Об утверждении территориальной схемы обращения с отходами, в том числе с твердыми коммунальными отходами, Новосибирской области"
Номер опубликования: 5400201610050001
Дата опубликования: 05.10.2016
Страница №3147 из 3163:
Увеличить