Официальное опубликование правовых актов
ОФИЦИАЛЬНОЕ ОПУБЛИКОВАНИЕ
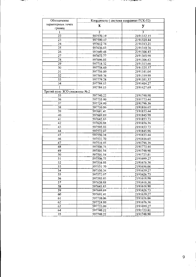
Приказ Министерства экологии и природных ресурсов Нижегородской области от 08.12.2022 № 319-736/22П/од "Об установлении зон санитарной охраны водозаборного участка МУП "ЖКХ "Северный", расположенного в п. Смиркино Городецкого муниципального округа Нижегородской области"
(Зарегистрирован 26.12.2022 № 22250-319-319-736/22П/од)
Номер опубликования: 5201202212300008
Дата опубликования: 30.12.2022
Страница №9 из 9:
Увеличить