Официальное опубликование правовых актов
ОФИЦИАЛЬНОЕ ОПУБЛИКОВАНИЕ
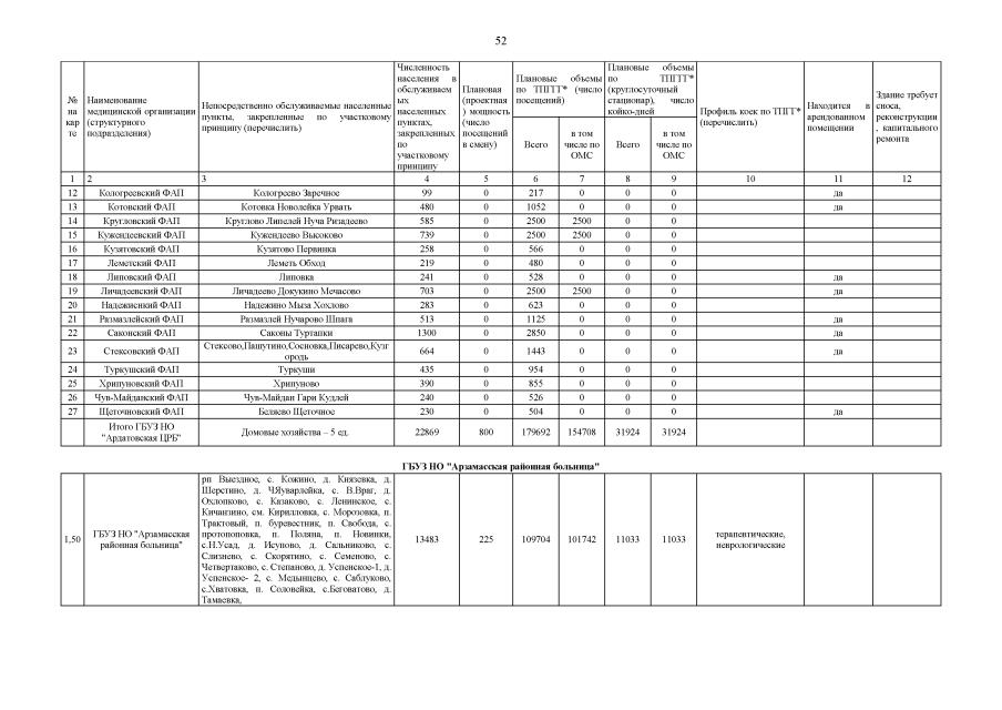
Постановление Правительства Нижегородской области от 10.11.2022 № 908 "О внесении изменений в региональную программу модернизации первичного звена здравоохранения Нижегородской области, утвержденную постановлением Правительства Нижегородской области от 15 декабря 2020 г. № 1029"
Номер опубликования: 5200202211140004
Дата опубликования: 14.11.2022
Страница №53 из 3147:
Увеличить