Официальное опубликование правовых актов
ОФИЦИАЛЬНОЕ ОПУБЛИКОВАНИЕ
Постановление Правительства Нижегородской области от 08.04.2022 № 252
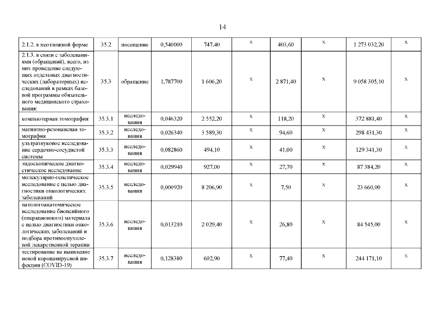
"О внесении изменений в Программу государственных гарантий бесплатного оказания населению Нижегородской области медицинской помощи на 2022 год и на плановый период 2023 и 2024 годов, утвержденную постановлением Правительства Нижегородской области от 29 декабря 2021 г. № 1243"
Номер опубликования: 5200202204120002
Дата опубликования: 12.04.2022
Страница №30 из 443:
Увеличить