Официальное опубликование правовых актов
ОФИЦИАЛЬНОЕ ОПУБЛИКОВАНИЕ
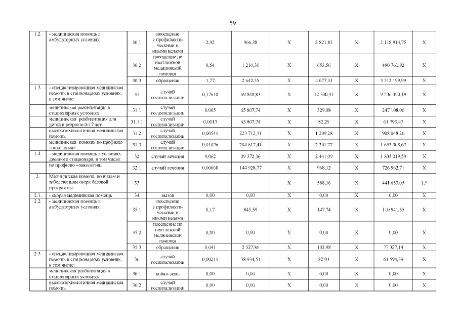
Закон Мурманской области от 24.12.2018 № 2329-01-ЗМО
"О Территориальной программе государственных гарантий бесплатного оказания гражданам медицинской помощи в Мурманской области на 2019 год и на плановый период 2020 и 2021 годов"
Номер опубликования: 5100201812250003
Дата опубликования: 25.12.2018
Страница №59 из 108:
Увеличить