Официальное опубликование правовых актов
ОФИЦИАЛЬНОЕ ОПУБЛИКОВАНИЕ
Закон Мурманской области от 19.06.2017 № 2154-01-ЗМО
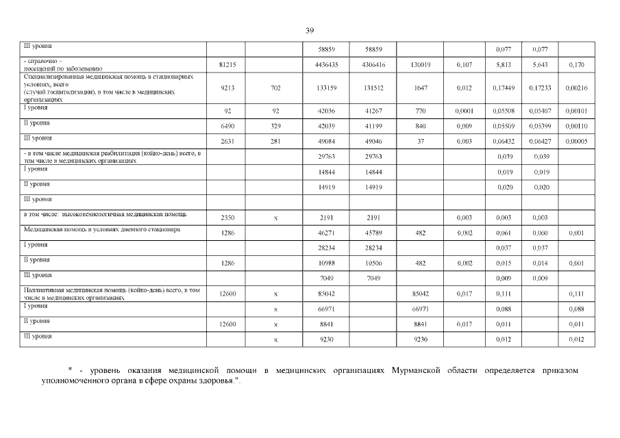
"О внесении изменений в Закон Мурманской области "О Территориальной программе государственных гарантий бесплатного оказания гражданам медицинской помощи в Мурманской области на 2017 год и на плановый период 2018 и 2019 годов"
Номер опубликования: 5100201706210002
Дата опубликования: 21.06.2017
Страница №39 из 45:
Увеличить