Официальное опубликование правовых актов
ОФИЦИАЛЬНОЕ ОПУБЛИКОВАНИЕ
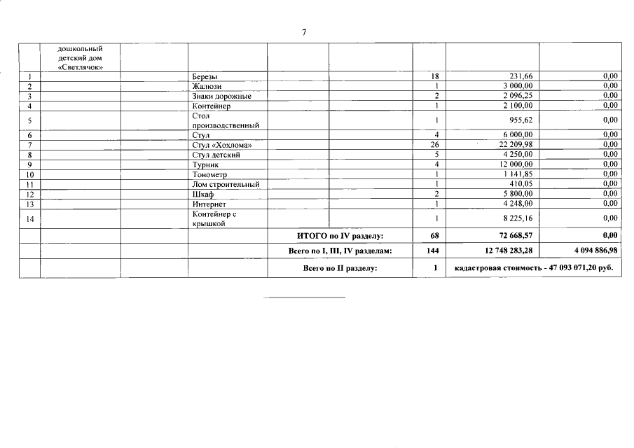
Постановление Правительства Мурманской области от 20.07.2015 № 307-ПП
"О передаче государственного имущества Мурманской области в собственность муниципального образования город Мурманск"
Номер опубликования: 5100201507240001
Дата опубликования: 24.07.2015
Страница №9 из 9:
Увеличить