Официальное опубликование правовых актов
ОФИЦИАЛЬНОЕ ОПУБЛИКОВАНИЕ
Постановление Правительства Московской области от 07.06.2022 № 579/19
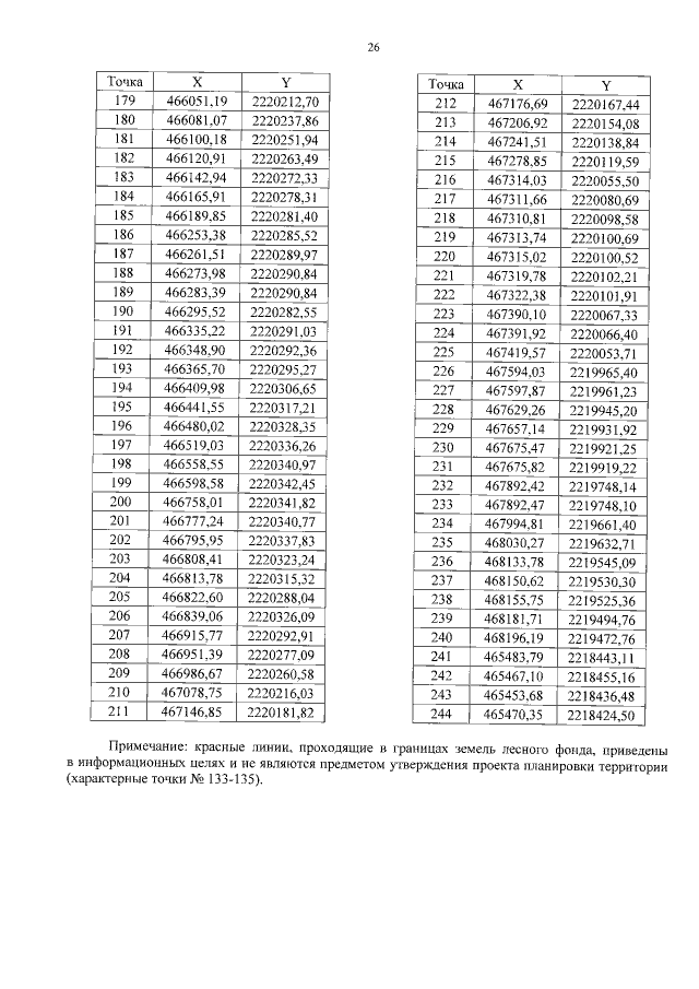
"Об утверждении проекта планировки территории для строительства участка линии рельсового скоростного пассажирского транспорта Балашиха — Кучино — Москва от автомобильной дороги Носовихинское шоссе до улицы Пригородная Городского округа Балашиха Московской области"
Номер опубликования: 5000202206100001
Дата опубликования: 10.06.2022
Страница №28 из 57:
Увеличить