Официальное опубликование правовых актов
ОФИЦИАЛЬНОЕ ОПУБЛИКОВАНИЕ
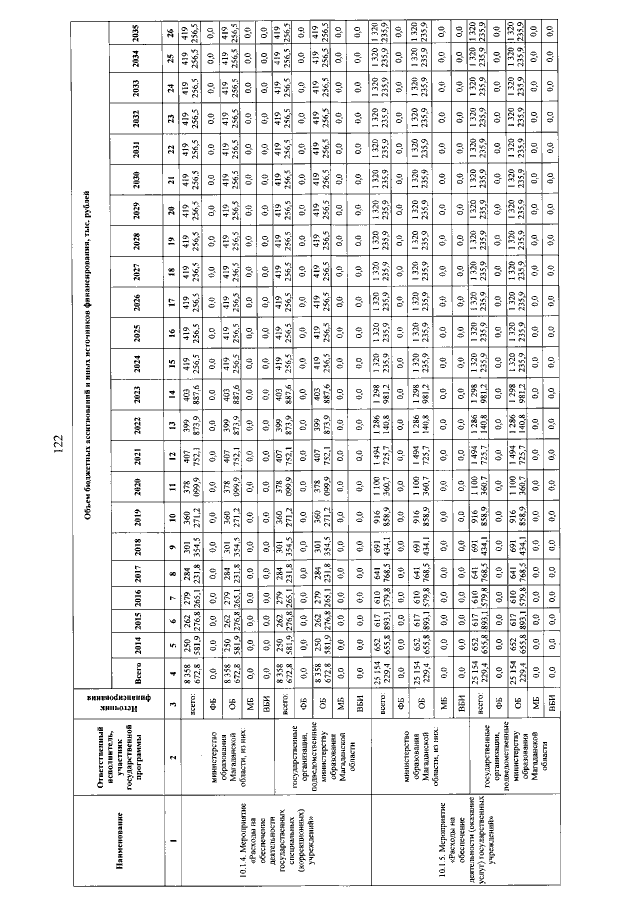
Постановление Правительства Магаданской области от 11.05.2022 № 405-пп
"О внесении изменений в постановление администрации Магаданской области от 28 ноября 2013 г. № 1179-па "Об утверждении государственной программы Магаданской области "Развитие образования в Магаданской области"
Номер опубликования: 4900202205130005
Дата опубликования: 13.05.2022
Страница №263 из 280:
Увеличить