Официальное опубликование правовых актов
ОФИЦИАЛЬНОЕ ОПУБЛИКОВАНИЕ
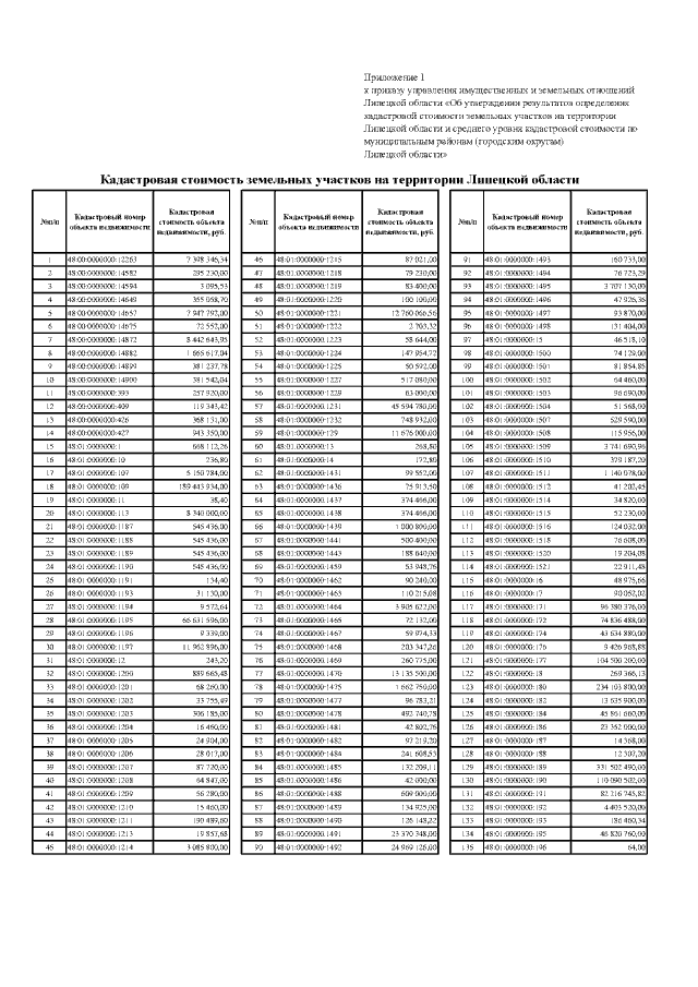
Приказ управления имущественных и земельных отношений Липецкой области от 09.11.2022 № 131
"Об утверждении результатов определения кадастровой стоимости земельных участков на территории Липецкой области и среднего уровня кадастровой стоимости по муниципальным районам (городским округам) Липецкой области"
Номер опубликования: 4801202211170001
Дата опубликования: 17.11.2022
Страница №2 из 4232:
Увеличить