Официальное опубликование правовых актов
ОФИЦИАЛЬНОЕ ОПУБЛИКОВАНИЕ
Приказ Комитета по сохранению культурного наследия Ленинградской области от 03.12.2021 № 01-03/21-182
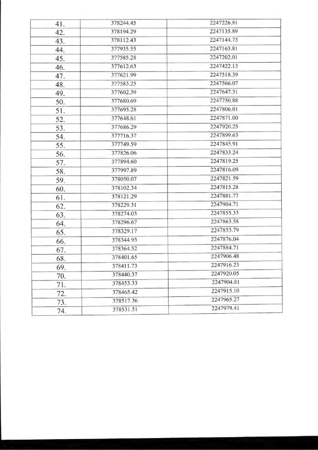
"О включении выявленного объекта культурного наследия достопримечательное место "Имение Строгановых (Марьино)", расположенного по адресу Ленинградская область, Тосненский район, деревни, Тарасово, Андрианово, Мельница, в единый государственный реестр объектов культурного наследия (памятников истории и культуры) народов Российской Федерации в качестве объекта культурного наследия регионального значения с наименованием достопримечательное место "Имение Строгановых (Марьино)" по адресу: Ленинградская обл., Тосненский район, деревни Тарасово, Андрианово, Мельница, автодороги: подъезд к деревне Примерное, подъезд к деревне Мельница, автодорога Ушаки - Рублево – Гуммолово, об утверждении границ его территории, установлении предмета охраны, требований к градостроительным регламентам в границах территории достопримечательного места"
Номер опубликования: 4701202112100005
Дата опубликования: 10.12.2021
Страница №7 из 82:
Увеличить