Официальное опубликование правовых актов
ОФИЦИАЛЬНОЕ ОПУБЛИКОВАНИЕ
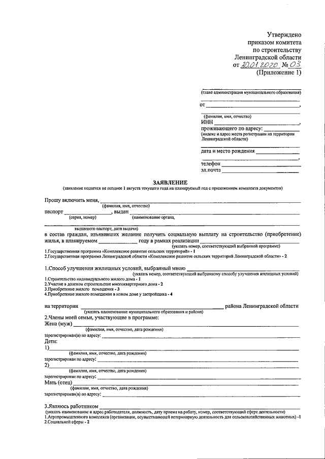
Приказ Комитета по строительству Ленинградской области от 30.01.2020 № 03
"Об утверждении Порядка предоставления гражданам социальных выплат на строительство (приобретение) жилья на сельских территориях Ленинградской области"
Номер опубликования: 4701202002050003
Дата опубликования: 05.02.2020
Страница №42 из 57:
Увеличить