Официальное опубликование правовых актов
ОФИЦИАЛЬНОЕ ОПУБЛИКОВАНИЕ
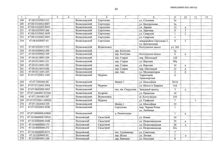
Постановление Правительства Ленинградской области от 26.12.2022 № 965
"Об определении Перечня зданий (строений, сооружений) и помещений в них, в отношении которых налоговая база определяется как кадастровая стоимость, на 2023 год"
Номер опубликования: 4700202212270003
Дата опубликования: 27.12.2022
Страница №11 из 27:
Увеличить