Официальное опубликование правовых актов
ОФИЦИАЛЬНОЕ ОПУБЛИКОВАНИЕ
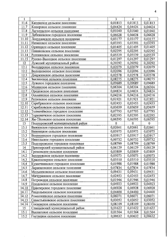
Закон Ленинградской области от 19.12.2022 № 151-оз
"Об областном бюджете Ленинградской области на 2023 год и на плановый период 2024 и 2025 годов"
Номер опубликования: 4700202212200007
Дата опубликования: 20.12.2022
Страница №32 из 558:
Увеличить